
Let CADS-AUTO be your first choice for rebuilding carburetors. We do them in house and have stationary engines for live runs after rebuilding, which allows us to provide you with a “plug and play" type product by setting your basic carburetor adjustments. New cars are confusing. With all the computers, sensors, and gadgets, it may seem like there's some sort of magical witchcraft and wizardry taking place under the hood. We're here to show you how modern automotive computer control systems work but today we're going to start with some old tech: The carburetor.
Okay, so almost no new cars use carburetors. Still, it's important to understand how engines got to where they are today. It all began with the good ol' carb. For a lot of you this is review, but if we want a new generation of car enthusiasts to care about cars, it can't hurt to explain how they actually work.
To optimize engine performance, engineers want to ensure that enough air is mixed with gasoline so that all of the gas burns during combustion. Such a mixture where all of the fuel is burned is known as a stoichiometric mixture. Maintaining a stoichiometric mixture allows engines to take maximum advantage of gasoline's high energy density (34 mega Joules per liter). If not enough air is provided, the engine will run rich, often resulting in poor fuel economy and black smoke exiting the tailpipe. If there is too much air mixed with the fuel, the engine runs lean, producing less power and more heat. Therefore, engineers must optimize this ratio to gain the most mechanical work per unit mass of fuel. The optimum ratio of air to fuel for a typical combustion engine is about 14.7 pounds of air for every pound of gasoline. The question of how to assure this perfect ratio has been at the forefront of automotive engineering design for decades.

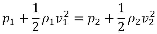
In the late nineteenth century, considered the beginning of the automotive timeline, the mechanism by which fuel and air were mixed was the carburetor. Originating from the French word “carbure,” which means “carbide,” the carburetor is a purely mechanical device (okay, so some use electric chokes) that was used to mix air and fuel up until the early 1990s (The 1991 Jeep Grand Wagoneer was the last American production vehicle to utilize a carburetor). To understand how carburetors work, you have to understand the Bernoulli principle. Shown below, the Bernoulli equation demonstrates that an increase of a fluid’s velocity (kinetic energy) necessitates a decrease in pressure (potential energy).

p1, ρ1, and v1 are the static pressure, density, and velocity, respectively at point 1. p2, ρ, and v2 are the static pressure, density, and velocity at another location in the flow. We can assume that the density of the fluid is remaining approximately constant, so ρ1 is about the same as ρ2. Let's say that at point 2 downstream, we have a narrowing where the fluid velocity increases. This means v2 is greater than v1. For the left and right sides of the Bernoulli equation to remain equivalent, p1 must be greater than p2. Thus, the high velocity at the narrowing yields low pressure.

Though many see carburetors as magical contraptions that house all sorts of voodoo, a carburetor is essentially just a tube through which filtered air flows from the automobile’s air intake. Within this tube, there is a narrowing, or a venturi, where a vacuum is created. There is a small hole in the narrowing called a jet which is fed fuel via the float chamber. The float chamber is a container filled with an amount of fuel that is set by a float. The vacuum created in the venturi draws in fuel from the float chamber, which is at ambient pressure. The faster the filtered air comes in through the carburetor throat, the lower the pressure in the venturi. This leads to a higher pressure difference between the venturi and the float chamber, and thus more fuel flows out of the jet and mixes with the airstream.
Downstream of the jet, there is a throttle valve that opens when the accelerator pedal is engaged. This throttle valve restricts how much air enters the carburetor. If you push the gas pedal all the way down, the throttle valve opens fully, allowing air to flow more quickly through the carburetor, creating a bigger vacuum in the venturi, sending more fuel into the engine, creating more power. At idle, the throttle valve is fully shut, but there is an idling jet that bypasses the throttle valve and sends a set amount of fuel and air into the engine. Without an idling jet, the engine would shut off if the throttle were not activated by the driver during idle.
What about that little lever you see in old cars? Well, that's the choke. The point of the choke is to provide the engine with a rich fuel mixture at start up. When you pull the choke lever, you close the choke valve and restrict the flow of air at the carburetor entrance. This makes the engine run rich. Once the car has warmed up, push the choke back in and let your engine shoot for that magic stoichiometric ratio.


Please Click the button to request an appointment with us
Make Appointment